Sound-based quantum computer Science Express
Now, for the first time, a key building block of a sound-based quantum computer has been shown to be effective.
One popular way to build a quantum computer is to encode information into the quantum states of light particles and then send them through a "labyrinthine" array of devices such as mirrors and lenses to manipulate that information. The laws of quantum mechanics state that quantum particles are fundamentally indivisible and therefore cannot be split; but now researchers at the University of Chicago's Pritzker Institute for Molecular Engineering (PME) are exploring what happens when you try to split a phonon: Andrew Cleland and his colleagues are doing just that with sound particles.

The article, "Splitting phonons: Building a platform for linear mechanical quantum computing," published June 8 in the journal Science "The experiment demonstrates a component that fully characterizes a beam splitter with a single phonon based on two superconducting quantum bits simultaneously.
The team used a device called an acoustic beam splitter to "split" phonons and then display their quantum properties. By showing the special quantum superposition states that the beam emitter can use to induce single phonons, and by creating interference between the two phonons, the team has taken a critical first step toward creating a new type of quantum computer.
Sound is produced when an object or a substance, such as air, vibrates. What we (the human ear) hear is a continuous noise, but it is actually a collection of tiny vibrating blocks - or particles called "phonons.
"To make a phonon requires the collective motion of 40 billion atoms, but in our experiments, each atom is a single quantum object. Physicists sometimes talk about phonons as if they were just a convenient trick for thinking about sound, but they are actually very real." Cleland said.

Andrew Cleland
His team built a chip-sized device with parts made of perfectly conductive materials that can create phonons one at a time before sending them to the rest of the device. The chip is kept in a powerful "refrigerator": at a temperature of one hundredth of a Kelvin, so that the photons exhibit quantum effects.
Each phonon has a pitch about a million times higher than the audible sound.
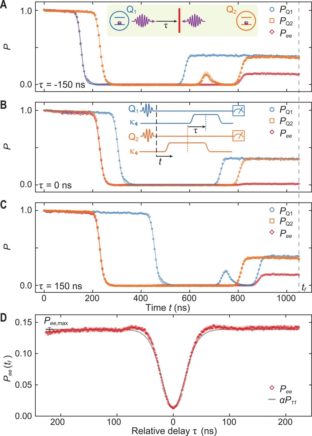
To demonstrate the quantum capabilities of these phonons, the team (Cleland and his graduate student Hong Qiao) created a device that could split the sound beam32 in half: transmitting one half and reflecting the other half back to the sound source (light separators already exist for light, and the quantum capabilities of photons had to be demonstrated). The entire system, including the two quanta used to generate and detect phonons, operates at very low temperatures and uses separate surface acoustic phonons: these propagate on the surface of the material, here lithium niobate is used.

Description and characterization of the device.
However, quantum physics says that individual phonons are indivisible. Thus, when the team sent a single phonon to the ray emitter, it did not split, but rather entered a quantum superposition state - a state in which the phonon is simultaneously reflected and transmitted. Observing (measuring) the phonon causes this quantum state to collapse to one of the two states.
The research team found a way to maintain this superposition state by capturing phonons in two quantum bits. Only one quantum bit captures the phonon, but the researchers could not tell which quantum bit it was even after the measurement. In other words, the quantum superposition is transferred from the phonon to the two quantum bits. As a result, the researchers measured this superposition of two quantum bits and came up with "gold standard evidence that the beam splitter creates a quantum entangled state (gold standard evidence)," Cleland said.

Single-phonon interferometry.
In a second experiment, the team wanted to demonstrate another fundamental quantum effect, the Hong-Ou-Mandel effect, which was first demonstrated with photons in the 1980s.
When two identical photons from opposite directions are sent to a beam splitter at the same time, the superimposed output is such that the two photons are always found "together", in one or the other of the output directions.
More importantly, the same thing happened when the team experimented with phonons: the superimposed output meant that only one of the two detector quanta picked up the phonon, in one direction but not the other. Although the quantum bits could only pick up one phonon at a time (instead of two), the quantum bit placed in the opposite direction never "heard" a phonon, indicating that both phonons were in the same direction.

Two-phonon interference
Getting phonons into quantum entanglement is a much bigger leap than doing it with photons. The phonons used here, although indivisible, still require a quadrillionth of an atom to work together in a quantum-mechanical way. And if quantum mechanics only dominates physics in the smallest of worlds, it raises questions about where this world ends and classical physics begins; this experiment takes that transition a step further.
"It's kind of amazing that these atoms have to act coherently together to support what quantum mechanics says they should do," Cleland said. The weirdness of quantum mechanics is not just a matter of size."

Frequency and wave packet dependence of two-phonon interference.
The strength of quantum computers lies in the "weirdness" of the quantum realm. By exploiting the quantum properties associated with superposition and entanglement, researchers hope to solve previously intractable problems. One way to do this is to use photons - so-called "linear optical quantum computers".

Artist's impression of the Linear Mechanical Quantum Computing (LMQC) platform. The central transparent element is a phonon beam splitter. The blue and red marbles represent individual phonons, which are the collective mechanical motions of trillions of atoms. These mechanical motions can be visualized as surface acoustic waves entering the beam splitter from opposite directions. The two-phonon interference on the beam splitter is the heart of LMQC. The output phonons emerging from the image are in a two-phonon state, with a "blue" phonon and a "red" phonon combined.
A linear quantum mechanical computer, which uses phonons rather than photons, has the potential to run new types of calculations. "The success of the phonon interference experiment shows that phonons are the latest equivalent of photons," Cleland said. "This result confirms that we have the technology needed to build a linear mechanical quantum computer."
Unlike linear optical quantum computing, which is based on photons, the UChicago platform integrates phonons directly with quantum bits. This means that phonons can also be part of a hybrid quantum computer, combining the benefits of a linear mechanical quantum computer with the capabilities of a quantum bit-based quantum computer.
The next step is to create a logic gate using phonons, which Cleland and his team are currently working on.
Reference links:
[1] https://www.newscientist.com/article/2377554-sound-based-quantum-computers-could-be-built-using-chip-sized-device/
[2]https://www.science.org/doi/10.1126/science.adg8715
[3]https://www.lankatimes.com/splitting-phonons-has-taken-a-step-toward-a-new-type-of-quantum-computer/
[4]https://mp.weixin.qq.com/s/PsEuQ7JSmSEP3m_FxyyV6g