Tsinghua University realizes ion trap quantum simulation of basic many-body model, surpassing the simulation capability of classical supercomputing

Recently, the research group of Luming Duan, Institute of Interdisciplinary Information, Tsinghua University, has made important progress in the field of quantum simulation of ion traps. For the first time, the Rabi-Hubbard model was realized with the help of ion qubits in the experiment, and the validity of the model was verified. Quantum phase transitions and quantum dynamics processes. By manipulating 16 ions and 16 simple harmonic vibration modes, the effective spatial dimension of this quantum simulation problem reaches 257, which exceeds the simulation capability of existing classical supercomputers. The paper "Experimental Realization of the Rabi-Hubbard Model with Trapped Ions" was recently published in the international academic journal "Physical Review Letters".

 

The Rabbi-Hubbard model is a combination of two fundamental models in quantum optics and condensed matter physics. The Rabbi model has a long history, dating back to 1936, which describes the interaction of light fields with matter; while the Hubbard model has a long history, dating back to 1936. Originating in 1963, the German model is the most basic model for describing particle interactions in a crystal lattice, and has now developed into a starting point for many fields in condensed matter physics. The Rabbi-Hubbard model includes the local Rabbi model spin-phonon interaction and the phonon-phonon interaction between lattice points. The combination of the two makes the model exhibit rich physical properties. The experimental scheme of this model was originally proposed in the cavity quantum electrodynamics system, but it has not been realized experimentally due to technical difficulties.

 

清华大学实现基本多体模型的离子阱量子模拟,超越经典超算
Order parameter evolution and quantum phase transition in the Rabbi-Hubbard model

 

Thanks to the high controllability of the ion trap quantum simulation platform, the researchers realized the controllable quantum simulation study of the Rabbi-Hubbard model. The researchers realized the interaction between ion qubits and localized phonons through precise manipulation of the laser, and the Coulomb interaction in the ion trap system formed the localized phonon exchange term between different ions.

 

In this work, the researchers verified the successful realization of the Rabbi-Hubbard model through both quantum phase transitions and quantum dynamics.

 

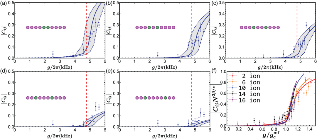
In terms of quantum phase transitions, the researchers realized the transformation between coherent and incoherent phases through adiabatic evolution. In the process, by measuring the order parameter of spatial spin correlation, they successfully observed quantum in ion arrays of different scales. The phase transition phenomenon is consistent with the approximate calculation results of the DMRG method.

 

In terms of quantum dynamics, the Rabbi-Hubbard model includes the mutual coupling of the spin mode of the ion and the spatial vibration mode, which significantly increases the effective Hilbert space dimension of the system and makes the classical simulation more difficult. The researchers observed quantum dynamic evolution in small-scale systems (2-ion, 4-ion) in line with the expectations of classical simulations, which together with the quantum phase transition proved the successful realization of the Rabbi-Hubbard model in this experiment. However, in the large-scale system (16 ions) and the strong coupling parameter range, the commonly used classical approximation method will no longer be applicable. The effective state space dimension of the experimental system is as high as 257, and the related dynamic process has been difficult to calculate by classical computer simulation.

 

This experiment demonstrates the quantum many-body simulation based on the ion trap platform, introduces the spatial vibrational degrees of freedom into the quantum simulation, realizes the problem scale that is difficult to calculate by classical computers, and is an important step towards the future large-scale ion trap quantum computing and quantum simulation. 

 

清华大学实现基本多体模型的离子阱量子模拟,超越经典超算
Spin dynamics evolution of the Rabbi-Hubbard model

 

The co-first authors of the paper are PhD students Mei Quanxin, Li Bowen and Assistant Professor Wu Yukai from the Institute of Interdisciplinary Information, Tsinghua University. The corresponding author is Professor Duan Luming. Other authors include PhD student Wang Ye, associate researcher Zhou Zichao, As well as researchers Cai Minglei and Yao Lin of Huayi Quantum Company. The project was supported by the Independent Research Program of Tsinghua University, Beijing Institute of Quantum Information Science, National Key R&D Program, Quantum Information Frontier Science Center of the Ministry of Education, Tsinghua University Shuimu Scholars Program, Postdoctoral International Exchange Program Introduction Project, and Tsinghua University Scientific Research Start-up Fund. with support.

 

Link:

https://journals.aps.org/prl/abstract/10.1103/PhysRevLett.128.160504

2022-04-25