Hong Kong University of Science and Technology Zeng Bei's team has made progress in quantum error correction

Recently, the team of Professor Zeng Bei of the Department of physics of the Hong Kong University of science and technology proposed varqec - noise resistant variational quantum algorithm in the pre printed paper "quantum variational learning for quantum error correction", which can search quantum codes through hardware efficient coding circuits. Zeng Bei is also the chief scientist of Shenzhen Liangxuan Technology Co., Ltd. This achievement provides a new idea for understanding quantum error correction code (qecc), and will also help to improve the short-term performance of the equipment through channel adaptive error correction code.

 

What is a quantum error correcting code?


Fault tolerant quantum computers are expected to solve some computational problems faster than classical computers, such as quantum chemical simulation, prime factor decomposition, solving linear equations and so on. However, the quantum information carried by noise medium scale quantum (nisq) system is very fragile and easy to be changed by the environment. At present, the most promising technology to maintain coherence and protect quantum information from noise is quantum error correction code.
Specifically, the main idea of quantum error correction is to encode low dimensional quantum states in a larger system, so that the errors in the calculation process can be corrected by physical redundancy. As long as the noise rate is below a certain threshold, qecc can correct the error and reduce the error probability from to a higher order. In recent years, the internal relationship between qecc and other physical fields (such as quantum gravity) has also attracted attention.


Academically, Knill and Laflamme designed the sufficient and necessary conditions for quantum error correction, which is called Knill Laflamme condition, but it is very difficult to solve the related equations; In practice, researchers usually analyze qecc under Pauli framework and develop various qecc series: surface code, calderbank shor Steane (CSS) code, stable code, codeword stable code (CWS) code and quantum low density parity check code.


Up to now, because the current gate noise rate is still far greater than the requirements, high fidelity logic qubits or related operations have not been realized in the experiment; For a long time, in addition to analyzing the structure, researchers have been trying to find qecc by computational methods. However, these algorithms can not find arbitrary code and are very time-consuming. Nowadays, with the popularization of artificial intelligence, researchers also begin to use neural networks to design and optimize quantum codes.

 

Prerequisites and theoretical basis


In classical computing and communication, redundancy is added when encoding messages in order to detect and correct errors. The principle behind quantum error correction is the same: although each bit may be reversed with a certain probability, the encoded message can be recovered with high probability; The logical quantum information is redundantly and nonlocally encoded by physical qubits with low fidelity. The quantum error can be detected by syndrome measurement and corrected by unitary operation.


In the experiment, most quantum errors are uncorrelated single qubit errors. A measure of qecc's ability is the number of single qubit errors it can detect. Although there are various methods to build qecc, almost all methods are constructed and analyzed under the Pauli framework. This study aims to find quantum coding based on basic principles, namely Knill Laflamme condition and quantum error detection condition. The algorithm involved and the structure of subsequent code connection are shown in the figure below:

 

港科大曾蓓团队取得量子纠错进展

Schematic diagram of varqec and quantum coding in series. (a) Train the encoder through small batch learning: the team iterates sampling from the error set and runs the variational quantum circuit U(θ) And measure, and then update θ; (b) Find the encoder U1, U2, U3 After the quantum code, these encoders are layered and connected in series to obtain a long-distance quantum code.

 

Specific algorithm and coding conclusion


Variational quantum circuits (VQC) have been widely used in various tasks of recent quantum algorithms, such as ground state preparation \ characteristic energy estimation, quantum data compression, quantum circuit compilation and so on. Given a product state as an input, people iteratively update the circuit parameters according to the measurement results, and finally output the required state. As shown in the figure below, in varqec, the output state is the ground state of the quantum cipher, and its encoder is given by the quantum circuit.

 

港科大曾蓓团队取得量子纠错进展


1. Symmetrical coding


The team first uses the symmetric code of some code parameters to verify the effectiveness of the algorithm. For code parameters

 

港科大曾蓓团队取得量子纠错进展

港科大曾蓓团队取得量子纠错进展


, the Pauli error to be considered in the total is:

 

港科大曾蓓团队取得量子纠错进展


, without losing generality, the team uses a complete two-point connected graph: the qubits of the selected input are represented as

 

港科大曾蓓团队取得量子纠错进展


The unselected qubits are

 

港科大曾蓓团队取得量子纠错进展


, the graph consists of K (n-k) edges, which connect each selected qubit and each unselected qubit, and the qubits in the same set are not directly connected. Variational quantum circuits have alternating layers, i.e. single qubit rotation acting on all qubits and ising type interaction rzz acting on adjacent qubits. If the number of layers is expressed as l, the evolution form of VQC is

 

港科大曾蓓团队取得量子纠错进展


Since the RZ gate and rzz gate of the last layer can be interchanged, and the RZ RX RZ rotation can realize any single qubit unit, the locally equivalent qecc can be found through the same VQC. In principle, the evolution of any n qubit unit can be realized through the analysis with enough layers, because {Rx, RZ, rzz} is a general quantum gate set.

 

港科大曾蓓团队取得量子纠错进展


The connection diagram of n = 5 and K = 2, the periodic structure variation theorem and the schematic diagram of realizable quantum coding. (a) Two party connection diagram with five physical qubits. Gray lines connect adjacent qubits. {Q0, Q1} is the selected qubit used to prepare logical data; (b) The corresponding variant quantum circuit (VQC) with L-layer. In each layer, we apply RX RZ rotation to each qubit and rzz gate to adjacent qubits; (c) With the increase of L, varqec can find the quantum cipher in the high-dimensional manifold until hyperparametric (L = lcrit).


Then apply the above algorithm to search

 

港科大曾蓓团队取得量子纠错进展


Code, where the code length n is from 3 to 12, the code dimension k is from 2 to 8, and the code distance D is from 2 to 4.

 

港科大曾蓓团队取得量子纠错进展

Minimum cost function of code parameters N, K and D. (a)n=3、(b)n=4、(c)n=5、(d)n=6、(e)n=7、(f)n=8、(g)n=9、(h)n=10、(i)n=11、(j)n=12。


All these codes can be obtained through shallow VQC. The figure below shows some cost curves in the small batch learning stage. In each iteration, the research team selects 20% as the batch and takes the learning rate as

 

港科大曾蓓团队取得量子纠错进展


Random gradient descent.

 

港科大曾蓓团队取得量子纠错进展


 

2. Asymmetric coding


In quantum experiments, the decoherence time of physical qubits is mainly affected by two factors: relaxation time and decoherence time. Relaxation leads to all Pauli errors, while decoherence only leads to phase reversal (pauli-z error). The probabilities of X, y and Z errors are expressed as

 

港科大曾蓓团队取得量子纠错进展


。 Usually,. The asymmetry between X / Y and Z errors has prompted people to build asymmetric qecc and deal with them in different ways. Now, researchers have extended some structures of symmetric codes to asymmetric codes.


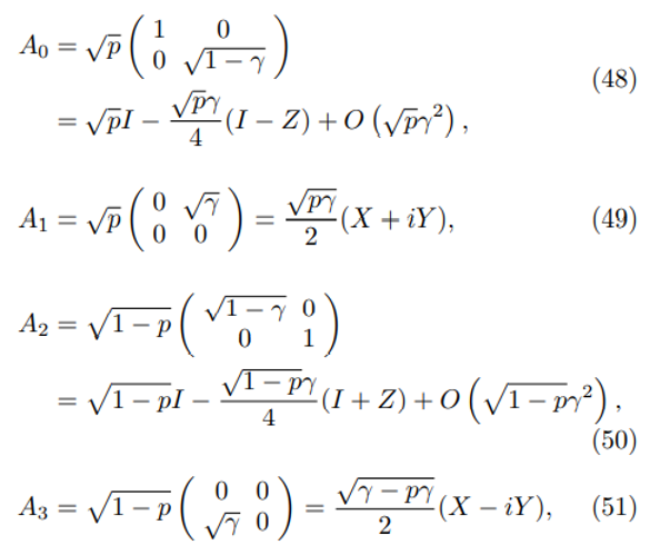
In most cases, dephasing is the main factor, and phase error is more common than X / y error. Generally, the Z error probability is much greater than the X / y error. Here, the research team assumes that the X / y error probability is greater. At this time, the only source of decoherence is the relaxation of qubits. This process is simulated as a generalized amplitude damping channel at limited temperature:

 

港科大曾蓓团队取得量子纠错进展

among γ Is the damping rate, P is a constant, determined by temperature. A0 and A2 introduce o( γ) Pauli-z error of level; A1 and A3 introduce pauli-x and - y errors.


Now we fix = 2 and apply varqec to find asymmetric codes with order 2 effective distance of 3. We rediscovered the code with the following parameters:

 

港科大曾蓓团队取得量子纠错进展


, with the help of post selection, these codes are expected to achieve a lower logical error rate than those with de (2) = 3.


3. Channel adaptive code


This section considers quantum channels with correlated noise. We apply varqec to find the corresponding channel adaptive coding. In quantum computing experiments, correlation errors are ubiquitous. When two adjacent qubits are not sufficiently separated, the errors that occur on them may be highly correlated. These spatial related errors invalidate many well-known quantum cryptography and make the hope of fault-tolerant quantum computing slim. In the following, two related noise channels are studied in detail, and the channel adaptive coding found by varqec is introduced.


1) Nearest neighbor collective amplitude damping


As shown in the figure below:

 

港科大曾蓓团队取得量子纠错进展

Schematic diagram of adjacent collective amplitude damping. (a) Quantum bits in a ring, two adjacent quantum bits interact with an environment. (b) Attenuation process.


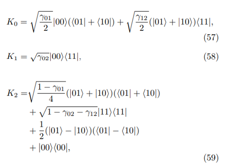
It is assumed that there are n ring adjacent qubits, and each two adjacent qubits interact with an environment together and exhibit the collective dynamics of amplitude damping. The corresponding Claus operator is:

 

港科大曾蓓团队取得量子纠错进展

 

In order to find a way to approximately correct the collective amplitude damping error of a nearest neighbor, the research team compared the above Claus operator with τ Expand to get:

 

港科大曾蓓团队取得量子纠错进展


2) Collective phase reversal of nearest neighbors


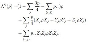
This channel consists of two stages. In the first stage, a local depolarization error rate P with noise occurs on each qubit. Here, the corresponding global noise channel is defined as; In the second stage, the nearest neighbor collective phase reversal error ZZ and the noise rate pzz occur on the adjacent quantum pairs.


Applying varqec directly to the above formula does not save resources. For practical purposes, the research team applies the algorithm to the following channels:

 

港科大曾蓓团队取得量子纠错进展


, the second item is to sum all qubits, and the last item is to sum all adjacent qubit pairs. Its Kraus operator is:

 

港科大曾蓓团队取得量子纠错进展


。 Therefore, for the original noise channel, the entanglement fidelity naturally has the following form:

 

港科大曾蓓团队取得量子纠错进展


Qecc can push the first-order error to a very small level. In order to find multiple errors of quantum codes that can correct multiple errors, we can choose a higher-order approximation and implement varqec in a similar way. For a general input state ρ, The probability of receiving the same state after passing through the noise channel is about 0.01. The target error list to be detected in varqec is

 

港科大曾蓓团队取得量子纠错进展


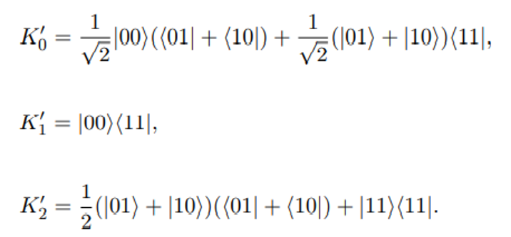
。 After sufficient optimization, the research team found an approximate channel adaptive coding, and its hardware connection diagram is as follows:

 

港科大曾蓓团队取得量子纠错进展


Hardware connection diagram (physical qubit) with 6 ∼ 9 vertices. The filled circle represents the initial K qubits to prepare the logical data. For these graphs, there is channel adaptive coding to protect the information of K qubits from the general one qubit error and the nearest neighbor collective phase reversal. The coding length N, coding dimension k and VQC layer number L are:
(a)n=6,K=2,L=5; (b)n=6,K=2,L=6; (c)n=7,K=2,L=2; (d)n=7,K=2,L=2; (e)n=8,K=4,L=4; (f)n=8,K=4,L=4; (g)n=9,K=4,L=3; (h)n=9,K=4,L=2。

 

Noise immunity test


Although the previous results are obtained through numerical simulation, varqec is a hybrid quantum classical algorithm, and the quantum gates running on nisq devices inevitably have noise. In this section, we demonstrate that varqec is quite resilient to random gate errors. As long as the QEC code rate is lower than a reasonable threshold, a valid code can be found. This elasticity is essentially similar to the noise elasticity in variational quantum compilation, and the following results are obtained:

 

港科大曾蓓团队取得量子纠错进展

Anti noise ability and connection diagram of varqec using VQC. (a) The relationship between noise type and ideal type VQC cost function and gate error rate; (b) (c) average λ Relationship with VQC layers.

 

Conclusion


Varqec is robust to hardware noise, so it is particularly promising in the era of nisq. A problem worthy of further study is how to select the variational quantum circuit with the highest resource efficiency in varqec. It is reasonable to believe that the best VQC theorem is related to coding. For example, when the target quantum code is a translation invariant, people can use VQC with certain symmetry, and different gates can share the same parameters. If we modify the cost function slightly, varqec can be used to find some variants of qecc, such as hybrid quantum classical coding; Varqec can also be directly modified into a classical algorithm. When the nisq processor cannot be obtained, classical variational methods such as tensor network or neural network quantum states can be used to replace VQC, and then similarly, only classical computers can be used to optimize and search qualified quantum codes. However, the coding circuit cannot be obtained naturally.


With the decrease of gate error rate and the increase of circuit depth, varqec will become more resistant to noise. In addition, scientists can also consider estimating the cost function more accurately in varqec, such as error mitigation techniques such as virtual distillation.


Link:
https://arxiv.org/abs/2204.03560

2022-04-11